Voorheen kon je dan ook oprechte keuzestress hebben tussen de 150 mm x 27,5″ Altitude en de 155 mm x 29″ Instinct BC Edition – fietsen die in de praktijk érg dicht bij elkaar lagen. Anno 2021 lost Rocky Mountain de vraag echter al voor je op: de nieuwe Altitude is een samensmelting van de twee reeds genoemde modellen.
De 2021 Altitude krijgt 160 mm veerweg achteraan, met een 170 mm voorvork. Deze fiets wordt gepositioneerd als zowel een échte racebak als een machine voor lol en avonturen. Nét zoals beide voorgangers in de praktijk veelzijdig bleken, overigens. Dat deze claim niet per sé een tegenstrijdigheid bevat komt grotendeels door de ruimte voor geometrieverstelling die Rocky Mountain al jaren biedt. De 2021-versie neemt dit mee en overtreft zelfs met een — nieuw voor het merk — verstelbare achtervorklengte. Ook is de demperopganging met het oog op toekomstige upgrades of tuning geheel verwisselbaar. De veelzijdigheid zie je ook terug in de beschikbare modellen, variërend in afmontage van ‘zo licht als praktisch’ (C99 topmodel) tot race-ready met dual-ply banden (C90 Rally Edition).
Details
De 2021-Altitude is er in aluminium en carbon. En de grove lijnen van de eerdere Altitude en Instinct zijn over genomen voor het 2021 model. Opvallend is dat de bovenbuis wel dunner én rechter is geworden (althans, bij maten L en XL). Ook rondom het balhoofd is het frame afgeslankt. Het geheel oogt hierdoor nét wat moderner. Wie verder kijkt ziet ook nog een reeks punten die overgenomen zijn van de oudere modellen. Ride-9 geometrieverstelling blijft behouden, evenals enkelzijdig opgehangen draaipunten. Alle Rocky ‘standaards’ blijven eveneens: BB92 trapas, tapered Zero Stack balhoofd en een 30,9 mm zadelpen. De dubbele lagering in de liggende achtervork wordt overgenomen van de meest recente Slayer. Nieuw zijn daarentegen de genoemde verwisselbare demperophanging en +/- 5 mm verstelling van de liggende achtervork. Ook zijn de poorten voor de interne kabels verbeterd en is er meer bescherming tegen modder en steenslag. Oja: je kan een Sram UDH universele achterpad gebruiken.
Geometrie en getallen
Dat de 2021 Altitude een samensmelting is van de ‘oude’ Altitude en Instinct BC Edition zie je het duidelijkst terug in de wielmaten. Juist: het zijn er twee. Framemaat S krijgt 27,5″ wielen en L en XL zitten aan 29″ vast. Enkel bij framemaat M heb je keuze. De rechte bovenbuis wordt overigens bij maten S en M wat krom getrokken voor extra standover. Hoewel veerweg voor en achter gelijk blijven zorgen de twee wielmaten voor een aantal verschillen tussen maten. Zo krijgen de 27,5″ fietsen vorken met 37 mm offset, terwijl de 29″ fietsen het met 42-44 mm doen. Bij de grotere fietsen is de achtervork ook 10 mm langer. Opvallend daarbij: door de verstelmogelijkheid is de kortste stand van de 29″ frames hetzelfde als de langste achtervorkstand van de 27,5″ frames.
In het middenbereik van alle afstelmogelijkheden zit het nieuwe frame met een reach van 480 mm voor een L vrijwel op de norm. De zadelhoek van 76º is niet extreem steil, maar ‘effectief’ en ‘werkelijk’ liggen hier wel dicht bij elkaar. Dit wekt de indruk van een vrij lang frame, wat ook bevestigd wordt door de 638 mm effectieve bovenbuis. De wielbasis is dan ook 1249 mm!

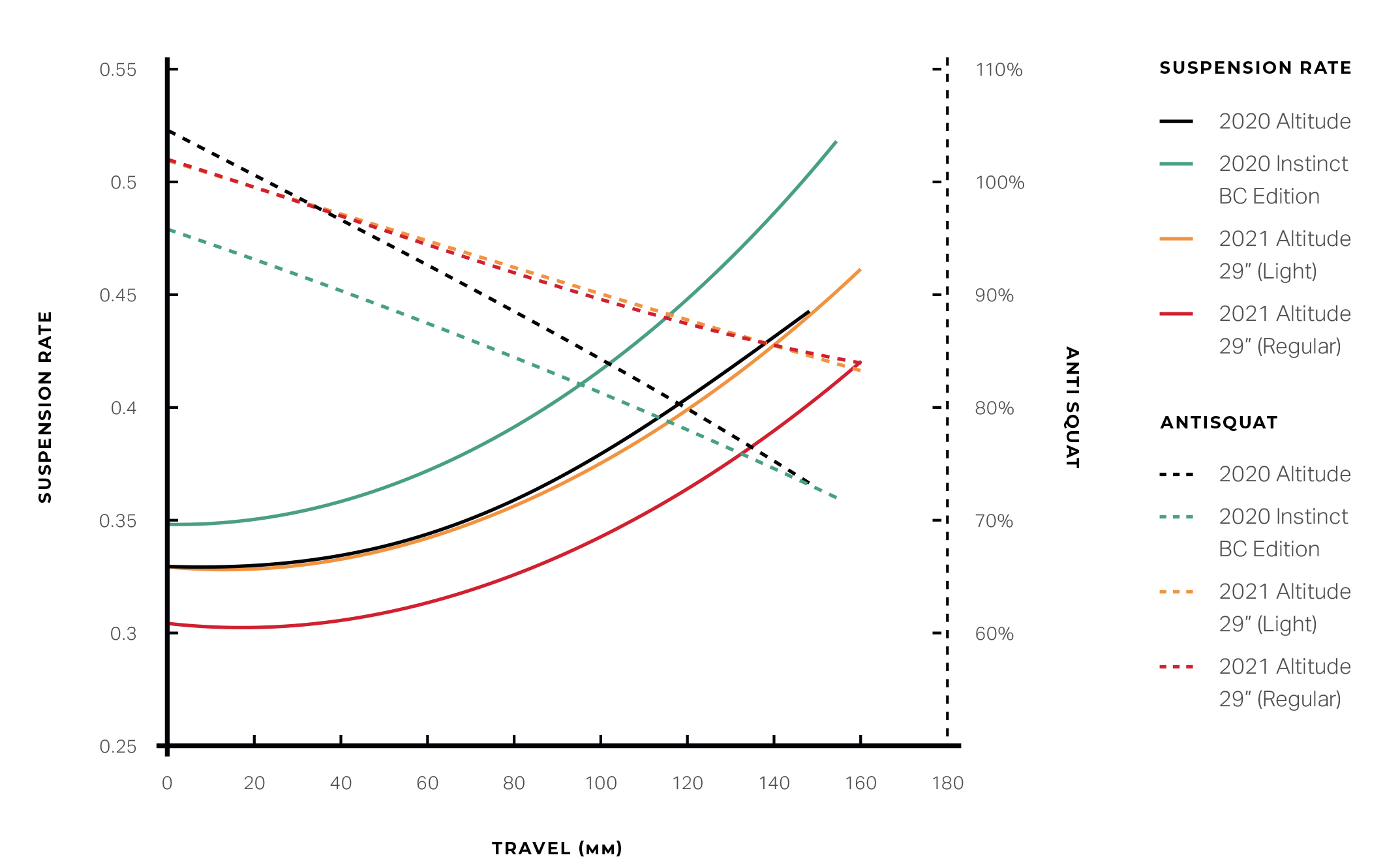
Kinematiek
Qua kinematiek zit de Altitude aardig tussen de twee voorgangers in. De veerkromme blijft progressief (en ligt afhankelijk van geo instellingen praktisch op de kromme van de oude Altitude). Hierdoor kan je naast een luchtdemper ook een demper met lineair schroefveer gebruiken. Volgens Rocky Mountain biedt de 2021 veerkromme fijngevoeligere vering in het begin maar voldoende stabiliteit en reserve richting midden en einde veerweg. Interessant detail: de kleinere 27,5″ frame’s gebruiken een 210×55 mm demper voor dezelfde veerweg, terwijl de grotere frame’s een 230×60 mm model nodig hebben.

Modellen
De nieuwe Altitude lijn kent wel 8 verschillende modellen: C99, C90 Rally Edition, C70 Coil, C70 en C50 – allen met de ‘C’ van carbon – en A70, A50, en A30 varianten. De numerieke aanduiding geeft de afmontage aan die grotendeels gelijk blijft, ongeacht framemateriaal. Alle modellen behalve de C70 Coil zijn in éé van twee kleuren te krijgen, ongeacht het type. Afmontage loopt uiteen van Shimano MT410 en Deore op goedkoopste modellen tot volledig XTR of zelfs SRAM X01/XX1 AXS op de C90 en C99 modellen. Prijzen voor de carbon modellen beginnen bij € 5.500. Van de aluminium versies zijn geen prijzen medegedeeld; zover onze informatie momenteel rijkt, slaan deze versies voorlopig Europa even over…
Twee plekken waar bewust niet bespaard is om de prijs te drukken zijn vering en banden. De goedkoopste A30 Altitude krijgt al een vertrouwd setje DHF/DHRII EXO sloffen en een Fox DPX2 performance demper. Vanaf de A/C70 modellen hebben we het over 38 mm vorken X2/DHX2 dempers, en MaxxGrip EXO+ varianten van banden met nog meer grip en reserve. De C90 Rally Edition krijgt zelfs dual-ply banden, een must als je met een dergelijke fiets echt wedstrijdtempo gaat rijden.
Een buitenbeentje in het assortiment is de Altitude C99. Met een draadloze SRAM X01/XX1 AXS groep, Rock Shock vering en Race Face Next R carbon wielen wordt het gewicht net weer wat gedrukt ten opzichte van de C90. De meerprijs? Nog eens € 900.
Meer info: bikes.com


















